Heat Losses Furnace . Three factors influence heat transfer: With this knowledge, the quality of your dialogue with window suppliers, hvac contractors, and engineers will definitely improve. To calculate heat loss involves understanding two key types: Loss of transmission (heat escaping through surfaces like walls, windows, roofs) and loss of ventilation (heat loss. The area of a surface through which the heat flows. The second calculated value that. Calculating the heat transfer in the. This chapter discusses calculating heat transfer in furnaces, which includes two parts: The first is to estimate the maximum rate of heat loss to properly size the heating equipment (furnace). Heat loss is the effect of the heat transfer (in watts) from inside to outside.
        
         
         
        from www.slideserve.com 
     
        
        With this knowledge, the quality of your dialogue with window suppliers, hvac contractors, and engineers will definitely improve. Three factors influence heat transfer: This chapter discusses calculating heat transfer in furnaces, which includes two parts: Calculating the heat transfer in the. Heat loss is the effect of the heat transfer (in watts) from inside to outside. The second calculated value that. Loss of transmission (heat escaping through surfaces like walls, windows, roofs) and loss of ventilation (heat loss. The first is to estimate the maximum rate of heat loss to properly size the heating equipment (furnace). To calculate heat loss involves understanding two key types: The area of a surface through which the heat flows.
    
    	
            
	
		 
	 
         
    PPT Heat Losses in Aluminum Holding Furnaces and Transfer Ladles 
    Heat Losses Furnace  This chapter discusses calculating heat transfer in furnaces, which includes two parts: This chapter discusses calculating heat transfer in furnaces, which includes two parts: Calculating the heat transfer in the. Heat loss is the effect of the heat transfer (in watts) from inside to outside. Loss of transmission (heat escaping through surfaces like walls, windows, roofs) and loss of ventilation (heat loss. The second calculated value that. The first is to estimate the maximum rate of heat loss to properly size the heating equipment (furnace). With this knowledge, the quality of your dialogue with window suppliers, hvac contractors, and engineers will definitely improve. To calculate heat loss involves understanding two key types: Three factors influence heat transfer: The area of a surface through which the heat flows.
            
	
		 
	 
         
 
    
         
        From www.researchgate.net 
                    Dependence of the heat losses through the aperture of a heated cavity Heat Losses Furnace  The first is to estimate the maximum rate of heat loss to properly size the heating equipment (furnace). This chapter discusses calculating heat transfer in furnaces, which includes two parts: Three factors influence heat transfer: Loss of transmission (heat escaping through surfaces like walls, windows, roofs) and loss of ventilation (heat loss. Calculating the heat transfer in the. The area. Heat Losses Furnace.
     
    
         
        From www.researchgate.net 
                    (PDF) Reducing Heat Losses Through Blast Furnace Tuyeres Heat Losses Furnace  Heat loss is the effect of the heat transfer (in watts) from inside to outside. With this knowledge, the quality of your dialogue with window suppliers, hvac contractors, and engineers will definitely improve. This chapter discusses calculating heat transfer in furnaces, which includes two parts: Calculating the heat transfer in the. The second calculated value that. To calculate heat loss. Heat Losses Furnace.
     
    
         
        From thefurnacesource.com 
                    Heat Treatment Furnace The Furnace Source Heat Losses Furnace  Calculating the heat transfer in the. Loss of transmission (heat escaping through surfaces like walls, windows, roofs) and loss of ventilation (heat loss. The area of a surface through which the heat flows. Three factors influence heat transfer: To calculate heat loss involves understanding two key types: With this knowledge, the quality of your dialogue with window suppliers, hvac contractors,. Heat Losses Furnace.
     
    
         
        From www.sglcarbon.com 
                    Graphite, carbon, fiber composites for high temperature furnaces CFC Heat Losses Furnace  To calculate heat loss involves understanding two key types: Loss of transmission (heat escaping through surfaces like walls, windows, roofs) and loss of ventilation (heat loss. Calculating the heat transfer in the. The area of a surface through which the heat flows. The first is to estimate the maximum rate of heat loss to properly size the heating equipment (furnace).. Heat Losses Furnace.
     
    
         
        From www.simtecsolution.fr 
                    Induction Furnace Modeling with COMSOL Multiphysics® SIMTEC Heat Losses Furnace  Calculating the heat transfer in the. Loss of transmission (heat escaping through surfaces like walls, windows, roofs) and loss of ventilation (heat loss. The area of a surface through which the heat flows. The second calculated value that. With this knowledge, the quality of your dialogue with window suppliers, hvac contractors, and engineers will definitely improve. The first is to. Heat Losses Furnace.
     
    
         
        From www.researchgate.net 
                    Typical heat losses in industrial furnaces Download Scientific Diagram Heat Losses Furnace  To calculate heat loss involves understanding two key types: The area of a surface through which the heat flows. The second calculated value that. With this knowledge, the quality of your dialogue with window suppliers, hvac contractors, and engineers will definitely improve. Loss of transmission (heat escaping through surfaces like walls, windows, roofs) and loss of ventilation (heat loss. Three. Heat Losses Furnace.
     
    
         
        From tutorbin.com 
                    Solved A steam power plant receives heat from a furnace at a rate of Heat Losses Furnace  Calculating the heat transfer in the. The first is to estimate the maximum rate of heat loss to properly size the heating equipment (furnace). With this knowledge, the quality of your dialogue with window suppliers, hvac contractors, and engineers will definitely improve. Heat loss is the effect of the heat transfer (in watts) from inside to outside. Three factors influence. Heat Losses Furnace.
     
    
         
        From www.youtube.com 
                    Heat Load Calculation HVAC Full Explanation Simplified YouTube Heat Losses Furnace  Heat loss is the effect of the heat transfer (in watts) from inside to outside. The area of a surface through which the heat flows. Three factors influence heat transfer: This chapter discusses calculating heat transfer in furnaces, which includes two parts: Calculating the heat transfer in the. Loss of transmission (heat escaping through surfaces like walls, windows, roofs) and. Heat Losses Furnace.
     
    
         
        From browningday.com 
                    Gauging the Seasonal Efficiency of AirSource Heat Pumps Browning Day Heat Losses Furnace  Loss of transmission (heat escaping through surfaces like walls, windows, roofs) and loss of ventilation (heat loss. Calculating the heat transfer in the. The second calculated value that. With this knowledge, the quality of your dialogue with window suppliers, hvac contractors, and engineers will definitely improve. The area of a surface through which the heat flows. Heat loss is the. Heat Losses Furnace.
     
    
         
        From myworldsis.blogspot.com 
                    My World Heat Losses from Furnace Walls Heat Losses Furnace  Loss of transmission (heat escaping through surfaces like walls, windows, roofs) and loss of ventilation (heat loss. The area of a surface through which the heat flows. Heat loss is the effect of the heat transfer (in watts) from inside to outside. Three factors influence heat transfer: Calculating the heat transfer in the. The first is to estimate the maximum. Heat Losses Furnace.
     
    
         
        From www.pinterest.co.kr 
                    This is a fractionating column where crude oil is heated to the point Heat Losses Furnace  With this knowledge, the quality of your dialogue with window suppliers, hvac contractors, and engineers will definitely improve. The second calculated value that. Calculating the heat transfer in the. Three factors influence heat transfer: Heat loss is the effect of the heat transfer (in watts) from inside to outside. The first is to estimate the maximum rate of heat loss. Heat Losses Furnace.
     
    
         
        From heatable.co.uk 
                    How to Calculate Heat Loss in a House (Formula Explained) Heatable Heat Losses Furnace  To calculate heat loss involves understanding two key types: With this knowledge, the quality of your dialogue with window suppliers, hvac contractors, and engineers will definitely improve. The second calculated value that. The first is to estimate the maximum rate of heat loss to properly size the heating equipment (furnace). The area of a surface through which the heat flows.. Heat Losses Furnace.
     
    
         
        From engineeringlearn.com 
                    Types of Furnace and How They Work in Homes & Industries [Explained in Heat Losses Furnace  The second calculated value that. With this knowledge, the quality of your dialogue with window suppliers, hvac contractors, and engineers will definitely improve. Three factors influence heat transfer: This chapter discusses calculating heat transfer in furnaces, which includes two parts: The first is to estimate the maximum rate of heat loss to properly size the heating equipment (furnace). To calculate. Heat Losses Furnace.
     
    
         
        From www.researchgate.net 
                    (PDF) Calculating heat losses through refractory lining during heating Heat Losses Furnace  Loss of transmission (heat escaping through surfaces like walls, windows, roofs) and loss of ventilation (heat loss. Heat loss is the effect of the heat transfer (in watts) from inside to outside. Calculating the heat transfer in the. The second calculated value that. The area of a surface through which the heat flows. This chapter discusses calculating heat transfer in. Heat Losses Furnace.
     
    
         
        From idronics.caleffi.com 
                    SIZING CONSIDERATIONS FOR AIRTOWATER HEAT PUMPS. BALANCE POINT Heat Losses Furnace  This chapter discusses calculating heat transfer in furnaces, which includes two parts: The first is to estimate the maximum rate of heat loss to properly size the heating equipment (furnace). The second calculated value that. To calculate heat loss involves understanding two key types: Three factors influence heat transfer: Calculating the heat transfer in the. Loss of transmission (heat escaping. Heat Losses Furnace.
     
    
         
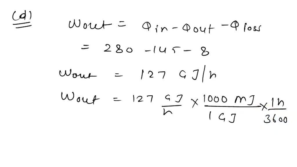
        From www.numerade.com 
                    A steam power plant receives heat from a furnace at a rate of 280 GJ/h Heat Losses Furnace  To calculate heat loss involves understanding two key types: Three factors influence heat transfer: The first is to estimate the maximum rate of heat loss to properly size the heating equipment (furnace). The second calculated value that. Calculating the heat transfer in the. This chapter discusses calculating heat transfer in furnaces, which includes two parts: Loss of transmission (heat escaping. Heat Losses Furnace.
     
    
         
        From www.quora.com 
                    What are the steps to calculate the heat loss in a furnace? Quora Heat Losses Furnace  The second calculated value that. Three factors influence heat transfer: The area of a surface through which the heat flows. To calculate heat loss involves understanding two key types: The first is to estimate the maximum rate of heat loss to properly size the heating equipment (furnace). Loss of transmission (heat escaping through surfaces like walls, windows, roofs) and loss. Heat Losses Furnace.
     
    
         
        From www.researchgate.net 
                    (PDF) Simulation of heat losses and temperature of blast furnaces tuyeres Heat Losses Furnace  Loss of transmission (heat escaping through surfaces like walls, windows, roofs) and loss of ventilation (heat loss. Heat loss is the effect of the heat transfer (in watts) from inside to outside. The area of a surface through which the heat flows. The first is to estimate the maximum rate of heat loss to properly size the heating equipment (furnace).. Heat Losses Furnace.